Définitions des termes antiseptique, antibiotique et désinfectant. Présentation d'un antiseptique, la bétadine, et d'antibiotiques, les pénicillines.
Le nouveau programme de SVT du cycle 4 introduit, dans la partie « Le corps humain et la santé », les notions relatives à l’action des antiseptiques et des antibiotiques. Cet article explique les différences entre ces deux grands types de produits avant de mettre la focale sur deux exemples. Le premier porte sur un antiseptique, la bétadine ; le second sur une catégorie d’antibiotiques, les pénicillines...
Définitions
Les antiseptiques et désinfectants
Les antiseptiques sont des produits destinés à inhiber la croissance ou à tuer les micro-organismes et/ou à inactiver les virus au niveau de tissus vivants (peau saine, muqueuses, plaies) [1]. Ce sont donc des substances ayant une activité antibactérienne, antifongique et/ou antivirale. Leurs conditions d’utilisation sont prévues pour ne pas altérer les tissus sur lesquels elles sont placées.
Les antiseptiques sont à rapprocher des désinfectants qui ont également pour but de limiter la croissance ou de tuer les micro-organismes. Mais contrairement aux antiseptiques qui sont appliqués sur des tissus vivants, les désinfectants sont utilisés sur des matériaux inertes (sol, meubles, matériel médical…)
Les antiseptiques et désinfectants sont capables d’inhiber le développement des micro-organismes (bactériostase, fongistase, virustase) ou d’avoir une action létale (bactéricidie, fongicidie, virucidie, sporicidie) selon différents mécanismes d’action : coagulation des organites intracellulaires, altération des membranes… [1]
Les antibiotiques
Les antibiotiques sont des molécules capables de tuer des bactéries (effet bactéricide) ou d’inhiber leur croissance (effet bactériostatique) sans affecter les cellules eucaryotes de l’hôte (qu’il s’agisse d’un humain ou d’un autre animal) [2], [3].
La plupart des antibiotiques actuels sont issus de molécules produites naturellement par des micro-organismes, et modifiées chimiquement pour améliorer leur activité et/ou changer certains paramètres pharmacocinétiques essentiels [2], [3].
Par rapport aux antiseptiques et aux désinfectants, qui agissent généralement sur tous types de micro-organismes, les antibiotiques n’agissent que sur les bactéries, avec une spécificité plus ou moins importante. Cela vient du fait qu’ils interfèrent avec des voies métaboliques essentielles chez les bactéries, mais absentes ou peu actives chez les cellules eucaryotes.
L’activité anti-bactérienne des antibiotiques s’exercent à travers cinq modalités, en fonction des molécules [4] :
- inhibition de la synthèse de la paroi bactérienne ;
- inhibition de la synthèse protéique ;
- inhibition de la synthèse des acides nucléiques (ADN, ARN) ;
- modification de la perméabilité des membranes ;
- inhibition de voies métaboliques particulières.
Tableau comparatif
|
|
Désinfectants |
Antiseptiques |
Antibiotiques |
|---|---|---|---|
|
Micro-organismes concernés |
Tous types : bactéries, virus, champignons, spores |
Bactéries uniquement |
|
|
Spectre d’activité |
Très large (faible spécificité) |
Spectre large ou spectre étroit selon les antibiotiques (spécificité variable selon les antibiotiques) |
|
|
Utilisation |
Sur des matériaux inertes (sols, matériel médical…) |
Sur des êtres vivants Usage externe uniquement (plaies, muqueuses…) |
Sur des êtres vivants Usage externe ou interne (voie orale, intraveineuse, intramusculaire) |
|
Vitesse d’action |
Rapide (moins de 5 minutes) |
Lente |
|
|
Action |
Localisée à la zone d’application |
Systémique (agit dans tout l’organisme) |
|
|
Exemples |
Alcools, produits chlorés… |
Alcools, produits chlorés, iodés… |
Pénicillines, céphalosporines, tétracyclines… |
Un exemple d’antiseptique : la bétadine
La bétadine est formée de povidone iodée en solution aqueuse. Cette dernière est un long polymère chargé positivement, qui lie les ions I3-.
La bétadine figure parmi les antiseptiques les plus connus. Elle est disponible en différentes préparations. Par exemple, la bétadine scrub 4 % est utilisée pour le lavage des mains, le nettoyage des plaies et l’antisepsie avant opération [6][5]. Le principe actif de la bétadine est l’iode sous forme I3-. Dans la bétadine cet iode est lié à un polymère, la povidone (aussi appelée polyvidone). L’iode agit en oxydant les composés présents à l’intérieur des cellules ce qui, selon la dose employée, limite leur croissance ou les tue [1]. Le mode d’action de la bétadine est donc très peu spécifique : elle agit aussi bien sur les bactéries, les champignons et les virus.
Un exemple d’antibiotique : les pénicillines et leurs dérivés
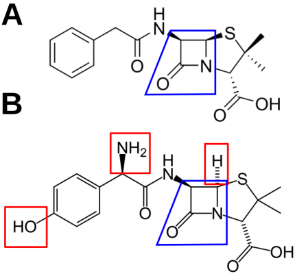
L’effet du premier antibiotique, la pénicilline G, a été décrit en 1928 par Alexander Fleming [4]. De nombreux dérivés ont été créés à partir de cette molécule afin d’en améliorer l’efficacité et d’en modifier certains paramètres pharmacocinétiques essentiels. Ainsi, la pénicilline G n’est presque plus utilisée aujourd’hui, car elle est impossible à prendre oralement (la molécule est sensible au pH acide de l’estomac) et est efficace uniquement contre les bactéries Gram + [7][6]. En effet, à cause de son hydrophobicité, la pénicilline G ne peut traverser la membrane externe des bactéries Gram –. Parmi les dérivés de cette molécule qui contournent ces écueils, l’amoxicilline est l’un des antibiotiques les plus utilisés actuellement en France [8][7]. Il est commercialisé en tant que médicament générique ou sous le nom de Clamoxyl par exemple.
La pénicilline G (A), produite par le champignon Penicillium notatum et l'un de ses dérivés, l'amoxicilline (B). Les différences entre les deux molécules sont indiquées en rouge. Toutes les molécules de la famille des pénicillines se caractérisent par la présence d'un noyau β-lactame, indiqué en bleu.
Formule de la pénicilline par Cacycle, domaine public, Wikipédia ; formule de l’amoxicilline par Benjah-bmm27, domaine public
Les médicaments de la famille des pénicillines (pénicilline G, amoxicilline, ampicilline…) agissent sur des enzymes appelées transpeptidases, qui sont impliquées dans la synthèse du peptidoglycane, composant essentiel de la paroi des bactéries. Les pénicillines viennent se fixer à la place du substrat des transpeptidases. Elles forment un complexe enzyme-produit qui ne se dissocie pas [2]. Dans la mesure où les transpeptidases sont inactivées, la paroi ne peut donc plus être synthétisée correctement, ce qui entraîne la mort des bactéries par choc osmotique [4].
Comme le peptidoglycane est présent chez les bactéries, mais absent chez les champignons, les virus etles cellules eucaryotes, l’effet des pénicillines est donc spécifique aux bactéries. Cela explique l’absence d’effets secondaires des pénicillines, mis à part chez les personnes allergiques [4].
Bibliographie
[1] C. Dumartin, P. Feldman, et F. Soumah, « Antiseptiques et désinfectants ». Centre de coordination de la lutte contre les infections nosocomiales de l’interrégion Paris-Nord, mai-2000.
[2] F. Van Bambeke et P. Tulkens, « Pharmacologie et pharmacothérapie anti-infectieuse ». 2008-2007.
[3] J. Berthet et A. Amar-Costesec, Dictionnaire de biologie. Bruxelles : De Boeck, 2006.
[4] L. M. Prescott, Microbiologie. Bruxelles : De Boeck, 2013.
[5] O. Castel, « Les antiseptiques et les désinfectants », présenté à Réunion de coordination – Établissements médico-sociaux Poitou-Charents, 16-avr-2015.
[6] « BÉTADINE SCRUB – EurekaSanté par VIDAL », EurekaSanté. [En ligne]. Disponible sur : http://eurekasante.vidal.fr/medicaments/vidal-famille/medicament-obetsc01-BETADINE-SCRUB.html. [Consulté le : 23-sept-2016].
[7] C. Hartmann, « L’Amoxicilline – Une Histoire de Molécules », 03-janv-2016. [En ligne]. Disponible sur : https://www.youtube.com/watch?v=6McBx7YUmXw. [Consulté le : 26-sept-2016].
[8] P. Cavalié et A. Djeraba, « Evolution des consommations d’antibiotiques en France entre 2000 et 2013 : nouveau rapport d’analyse de l’ANSM », ANSM : Agence nationale de sécurité du médicament et des produits de santé, nov-2014. [En ligne]. Disponible sur : http://ansm.sante.fr/S-informer/Points-d-information-Points-d-information/Evolution-des-consommatio…. [Consulté le : 28-sept-2016].

