Conséquences d'une augmentation de température sur le cycle de vie du lézard vivipare et sur son microbiote.
Résumé
S’il ne fait plus de doute que le réchauffement climatique impacte de nombreux êtres vivants, certains y sont plus sensibles que d’autres. C’est par exemple le cas des reptiles (Diapsides non Oiseaux) dont la température corporelle dépend directement de celle de leur environnement. Une équipe du CNRS a étudié de manière expérimentale les conséquences d’un réchauffement de 2 °C sur la survie du Lézard vivipare (Zootoca vivipara). Les scientifiques ont également voulu savoir dans quelle mesure ce reptile présent sur l’ensemble du territoire européen pouvait échapper à cette perturbation en changeant d’aire de répartition ou en modifiant des caractéristiques phénotypiques tels que leur couleur, leur préférence thermique ou leur microbiote intestinal. Leurs travaux, publiés récemment dans les revues Plos Biology, Ecology Letters et Nature Ecology and Evolution révèlent que des populations de lézards vivipares pourraient souffrir d’une telle élévation de température, et que des perturbations de la flore microbienne pourraient contribuer à des déclins de leur survie. Ils montrent par ailleurs que certains représentants de l’espèce seront capables d’y faire face en migrant vers des régions plus tempérées de leur aire de répartition.
Introduction
Le changement climatique à venir menace le fonctionnement des milieux naturels et la diversité des espèces (Bellard et al. 2012; Field et al. 2014). Ces dernières années ont vu un nombre croissant de changements d’aires de répartition d’espèces animales et végétales (Parmesan 2006), tandis que de nombreuses espèces sont menacées d’extinction à plus ou moins long terme (Thomas et al. 2004). Le changement climatique est particulièrement susceptible d’affecter les espèces ectothermes, communément appelées « animaux à sang froid », dont la température du corps dépend directement de la température du milieu environnant (Huey et al. 2010). En effet, les processus biologiques qui sous-tendent la survie et la reproduction de ces espèces varient directement avec la température de leurs corps. Ces processus peuvent être profondément perturbés par l’augmentation de la température corporelle induite par le réchauffement du climat. Ces perturbations des animaux ectothermes peuvent également se répercuter à l’ensemble des espèces vivantes, y compris endothermes, par le biais de leurs interactions avec d’autres espèces au sein des écosystèmes (Gilman et al. 2010; Bestion & Cote 2017). L’un des défis majeurs de ce siècle est donc de comprendre l’impact du climat sur les espèces ectothermes pour mieux prédire les changements de biodiversité afin de mieux les affronter.
Elvire Bestion et Julien Cote, du laboratoire Évolution et diversité biologique à Toulouse et de la Station d’écologie théorique et expérimentale à Moulis, ont étudié expérimentalement l’impact du réchauffement climatique futur sur une espèce de vertébré ectotherme, le lézard vivipare (Zootoca vivipara). Pour cela, les chercheurs ont utilisé un système expérimental novateur, le Metatron (Fig. 1, (Legrand et al. 2012)). Le Metatron est un système de 48 enclos semi-naturels qui présentent une végétation naturelle et un cortège d’espèces invertébrées typiques des milieux humides où vit cette espèce de lézard. Des volets et des arroseurs permettent d’y contrôler les conditions climatiques. Les chercheurs ont créé deux traitements de température, un traitement correspondant à la température actuelle et un traitement où la température est plus élevée de 2 °C, correspondant à l’élévation de température prédite par le Groupe d’experts intergouvernemental sur l’évolution du climat (GIEC) pour la fin du siècle pour un scénario moyen d’émissions [RCP 4.5 : +1.8 ± 0.5°C (IPCC 2013)]. Différentes populations de lézards ont été placées pendant deux ans dans 18 enclos recréant l’une ou l’autre des conditions climatiques précédentes, permettant de suivre chaque année et sur plusieurs années la croissance, la survie, la reproduction et les caractéristiques phénotypiques des lézards (Bestion et al. 2015b).
A : vue de dessus. Notez les corridors reliant les enclos et permettant d’étudier les mouvements des individus entre populations. Sur certains des enclos, on peut observer des volets (en vert) permettant de contrôler la température. B : vue de près de la structure. En bas à gauche, un enclos avec les volets ouverts. En haut à droite, un enclos avec les volets fermés. C : vue de l’intérieur d’un des enclos, notez l’hétérogénéité du milieu multiples caches (H, I), mares (G) et la végétation (C). D : entrée des deux demi-corridors de la structure. E : senseurs mesurant en continu la température, la luminosité et l’hygrométrie, et permettant de contrôler automatiquement la fermeture des volets manipulant la température. F : piège permettant de capturer les individus dispersants à l’extrémité des corridors.
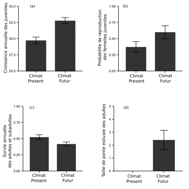
Un climat plus chaud a un impact positif sur les jeunes lézards…
Les jeunes lézards grandissent bien plus vite dans un climat plus chaud (Fig. 2a) et atteignent une taille similaire à celle de jeunes adultes en quelques mois seulement au lieu d’une année en climat actuel (Bestion et al. 2015b). Cette plus forte croissance accélère l’accès à la reproduction (Fig. 2b). En effet chez cette espèce, les lézards accèdent à la reproduction normalement à partir de deux ans, avec une faible proportion d’individus capables de se reproduire dès l’âge d’un an. Cependant, les conditions climatiques plus chaudes ont mené à une forte augmentation de la proportion d’individus capables de se reproduire dès un an. De manière anecdotique, cet accroissement du nombre d’individus reproducteurs chez les jeunes lézards s’est accompagné par un changement de mode de reproduction chez un nombre réduit de femelles adultes. En effet, les populations françaises de cette espèce sont normalement univoltines, c’est-à-dire qu’elles se reproduisent une fois par an – au printemps dans le cas de cette espèce. Mais les chercheurs ont découvert des secondes pontes intervenues durant l’été d’expérimentation chez quelques femelles vivant en climat chaud (Fig. 2d), suggérant une transition vers le multivoltinisme, c’est-à-dire plusieurs reproductions au cours de la même année.
(a) Croissance annuelle des juvéniles [moyenne en mm ± erreur-type (écart-type divisé par racine de n, où n est la taille d’échantillonnage, permettant d’estimer l’intervalle de confiance de la moyenne)] en fonction du traitement climatique. La croissance est calculée comme la différence entre la longueur museau-cloaque à un an et la longueur museau-cloaque à la naissance, mesurées en mm. (b) Probabilité de reproduction des femelles juvéniles à un an (moyenne ± erreur-type) en fonction du traitement climatique. (c) Probabilité de survie des adultes et subadultes (moyenne ± erreur-type) en fonction du traitement climatique. (d) Taille de ponte des femelles ayant pondu une seconde fois lors de l’été 2012 (moyenne ± erreur-type) en fonction du traitement climatique.
… mais des impacts négatifs sur la survie des adultes qui se répercutent sur la dynamique des populations
Cependant, l’impact positif d’un climat plus chaud sur les jeunes individus est contrebalancé par un effet négatif de la température sur la survie des adultes (Fig. 2c). Au total, ces résultats suggèrent que des conditions climatiques plus chaudes mènent à une accélération du cycle de vie des lézards, avec une croissance des juvéniles plus importante et un accès plus rapide à la reproduction, mais aussi à une plus grande mortalité des adultes (Bestion et al. 2015b). Les chercheurs ont ensuite fait le bilan de l’impact de ces modifications de l’histoire de vie sur la viabilité des populations à l’aide d’un modèle mathématique (Fig. 3). Ils montrent que l’accroissement de la mortalité des adultes devrait mener à une extinction rapide des populations de climat chaud, avec un taux de croissance des populations très faible (λ = 0,75 [0,72 ; 0,77], moyenne [95 % CI]), tandis que les populations de climat présent se maintiendraient (λ = 0,98 [0,95 ; 1,01], non significativement différent de 1).
Taux de croissance et effectif des populations
Le taux de croissance λ permet de calculer, à chaque pas de temps, la taille de la population grâce à la formule Nt+1 = Nt * λ. Une valeur de λ inférieure à 1 marque une population en déclin, une valeur supérieure à 1 une population qui croît.
sj :survie des juvéniles (0-1 an), sy :survie des subadultes (1-2 ans), sa :survie des adultes (2 ans et plus), py :probabilité de gravidité des subadultes, pa :probabilité de gravidité des adultes, fy : fécondité (nombre d’œufs pondus par femelle) des subadultes, fa :fécondité des adultes, σ :sex-ratio primaire. Les valeurs mesurées pour chaque paramètre sont dans la table 1. Grâce au programme Unified Life Model (ULM) de Legendre et Clobert (Legendre & Clobert 1995), les chercheurs ont pu calculer le taux d’accroissement de la population λ.
| Paramètre démographique | Climat présent | Climat futur chaud (+ 2 °C) | ||
| Estimateur | ET | Estimateur | ET | |
| Survie | ||||
| sj | 0,274 | 0,007 | 0,176 | 0,005 |
| sy | 0,458 | 0,012 | 0,347 | 0,014 |
| sa | 0,561 | 0,009 | 0,454 | 0,011 |
| Probabilité de gravidité | ||||
| py | 0,371 | 0,016 | 0,600 | 0,020 |
| pa | 0,873 | 0,012 | 0,984 | 0,001 |
| Fecondité | ||||
| fy | 4,221 | 0,136 | 3,459 | 0,109 |
| fa * | 5,884 | 0,032 | 5,581/5,803 |
0,035 |
Table 1: Paramètres démographiques pour chaque traitement climatique. ET : erreur-type. Tiré de Bestion E, Teyssier A, Richard M, Clobert J, Cote J. 2015. Live fast, die young: experimental evidence of population extinction risk due to climate change. Plos Biology. 13 (10): e1002281. doi:10.1371/journal.pbio.1002281. Licence Creative Commons Attribution-NonCommercial-Sharealike CC BY-NC-SA.
* Pour les climats chauds, la fécondité des femelles adultes a été considérée d’abord sans les deuxièmes pontes, puis avec.
Les populations ayant un risque de A à C seront menacées de disparition par une augmentation de 2 °C de la température ; en D par 3 °C, en E par 4 °C.
Enfin, une comparaison des conditions climatiques expérimentales avec les conditions rencontrées actuellement par les populations européennes de lézards vivipares suggère que le changement climatique va menacer rapidement les populations au sud de l’Europe (Fig. 4).
La dégradation du microbiote : un effet dissimulé mais très important
De nombreuses études considèrent l’impact du climat sur une espèce donnée sans forcément s’intéresser aux autres espèces qui vivent en interaction avec elle. Cependant, une espèce ne vit pas hors sol, mais interagit avec un réseau complexe d’espèces au sein d’une communauté. L’ensemble des espèces et de leur habitat forme un écosystème. Ainsi, le changement climatique peut toucher l’espèce cible directement, mais aussi au travers des autres espèces par des effets dominos. Parmi les interactions entre espèces, celles liant les espèces hôtes et leur flore microbienne sont parmi les plus complexes. En effet, les animaux ne sont pas autant des entités individuelles que nous le pensions, mais sont en réalité une communauté, un holobionte, composée des cellules propres à l’hôte et d’une myriade de cellules microbiennes habitant l’hôte (le microbiote). En biologie humaine, de récentes découvertes ont montré le rôle central du microbiote intestinal pour la digestion ou l’immunité. De nombreuses maladies sont ainsi liées à des dérèglements du microbiote intestinal. Les fonctions du microbiote sont tout aussi importantes chez les autres vertébrés, et on peut imaginer qu’un dérèglement de celui-ci du fait du changement climatique pourrait être néfaste.
Les chercheurs ont donc étudié l’impact d’un climat plus chaud sur les communautés bactériennes intestinales des lézards (Bestion et al. 2017). Des populations de lézard ont été soumises à trois conditions climatiques, un climat présent et deux autres climats plus chauds de 2 et 3 °C. Après avoir passé un an dans ces conditions climatiques, le microbiote des lézards a été échantillonné et les espèces bactériennes présentes dans cette flore ont été identifiées grâce à des approches de métabarcoding ADN en séquençage haut-débit.
Les chercheurs ont montré que le changement climatique mène à une forte baisse de la diversité bactérienne de cette flore, avec jusqu’à 34 % d’espèces perdues (Fig. 5a). Cette baisse de diversité était présente dans la plupart des grands groupes bactériens (Fig. 5b).
Impact des conditions climatiques sur la richesse bactérienne individuelle totale (a) ou dans les phylums les plus diversifiés (b) : nombre moyen de taxons (OTU, Operational Taxonomic Units) ± SE. Température actuelle T en bleu (N=68 lézards), T + 2 °C en jaune (N=41), T + 3 °C en rouge (N=41).
Cette perte de diversité pourrait se répercuter ensuite sur la survie de l’hôte car les chercheurs ont montré que les lézards ayant une plus faible diversité bactérienne étaient en effet ceux qui survivaient le moins bien au cours de l’année suivante, bien que cet effet ne soit que corrélatif (Bestion et al. 2017).
Cette première démonstration de l’effet du réchauffement climatique sur le microbiote intestinal d’un vertébré pourrait avoir des implications cruciales sur la manière dont nous prédisons la perte de biodiversité due au changement climatique. En se focalisant sur les espèces les plus charismatiques, comme les grands vertébrés et en oubliant la diversité microbienne de ces mêmes vertébrés, la perte de biodiversité et les conséquences du changement climatique pourraient être sous-estimées. Les interactions complexes entre hôtes et microbiotes pourraient en effet mettre en danger l’hôte simplement du fait de ces déséquilibres microbiens.
Comment les lézards peuvent-ils échapper au changement climatique ?
Le lézard vivipare a-t-il la capacité de supporter le réchauffement climatique ? Face à ce changement, les espèces peuvent répondre en modifiant 1) leur aire de distribution vers de meilleures conditions climatiques, vers les pôles ou en altitude, ou 2) leurs caractéristiques phénotypiques permettant une adaptation aux nouvelles conditions climatiques (Parmesan 2006).
Le changement d’aire de distribution a été observé chez de nombreuses espèces animales et végétales (Parmesan 2006), et dépend entre autres de la capacité de dispersion des individus, c’est-à-dire de leur capacité à se mouvoir entre leur habitat de naissance et leur habitat de reproduction. Cependant, au sein même d’une espèce, tous les individus ne sont pas identiques, certains préférant des températures plus élevées que d’autres. Cette variabilité interindividuelle, bien que souvent ignorée, pourrait avoir un grand impact sur la réponse des espèces au changement climatique.
Préférence thermique à la naissance chez les individus dispersants (individus ayant bougé de leur enclos natal au cours de l’été) et résidents (individus étant restés dans leur enclos natal au cours de l’été) en fonction du traitement climatique au sein du Metatron (moyenne en °C ± ET). Barres blanches : climat présent ; barres grise : climat chaud. Ligne en pointillés : préférences thermiques moyennes des juvéniles.
Les chercheurs se sont donc intéressés aux conséquences de la variabilité interindividuelle dans les préférences thermiques sur la dispersion dans différentes conditions climatiques (Bestion et al. 2015a). Pour ce faire, ils ont relâché dans le Metatron dans deux conditions climatiques des populations de lézards pour lesquels ils ont mesuré en laboratoire la préférence thermique à la naissance. Des corridors entre enclos, munis de pièges à leur extrémité (Fig. 1F), ont permis de quantifier la dispersion natale durant un été. Les chercheurs montrent que la préférence thermique des individus à la naissance a un impact sur leur choix de dispersion, et ceci en fonction des conditions climatiques. En climat chaud, les individus préférant des températures basses ont tendance à plus disperser, tandis qu’en climat froid, ce sont les individus préférant des températures élevées qui dispersent (Fig. 6).
Ce processus devrait mener à la ségrégation spatiale de différents phénotypes thermiques lors des déplacements d’aire de répartition dus au changement climatique, ce qui pourrait faciliter l’adaptation locale aux nouvelles conditions climatiques. Il semble donc important d’intégrer la variation phénotypique au sein d’une espèce dans les modèles de déplacement d’aire de distribution (Bestion et al. 2015a). Ces modifications, qui concernent, entre autres, la phénologie de reproduction, la taille et la couleur des espèces peuvent résulter de la plasticité phénotypique, de processus micro-évolutifs ou des deux (Bestion & Cote 2017).
En conclusion
Dans leur ensemble, ces travaux montrent que le changement climatique pourrait avoir des conséquences drastiques pour les reptiles et autres espèces ectothermes des zones tempérées. Ces résultats sont surprenants car si de nombreux travaux montrent des effets néfastes sur les espèces ectothermes tropicales, les espèces de zones tempérées sont considérées comme peu à risque (Huey et al. 2009). Les animaux ectothermes représentent la totalité des espèces invertébrées et 80 % des animaux vertébrés. Ainsi, une disparition de ces espèces du fait du changement climatique aurait des impacts dramatiques sur le fonctionnement des écosystèmes dans leur entièreté.
Un aspect intéressant de ces travaux est l’intégration de différents niveaux d’organisation de la biodiversité. En effet, les chercheurs ont étudié l’effet du climat depuis le niveau individuel, en incorporant la variation interindividuelle au sein d’une espèce, au niveau de la population et enfin de la communauté d’espèces. Ces différents niveaux de lecture montrent différents impacts du climat, et leur intégration peut mener à des conclusions différentes d’une simple vision à l’échelle de l’espèce (Bestion & Cote 2017). Ces résultats rappellent l’importance d’une approche holistique en biologie, où le tout n’est pas égal à la somme de ses parties mais où les interactions à différents niveaux d’organisation peuvent mener à des propriétés émergentes du système.
Références
- Bellard, C., Bertelsmeier, C., Leadley, P., Thuiller, W. & Courchamp, F. (2012). Impacts of climate change on the future of biodiversity. Ecology Letters, 15, 365–377
- Bestion, E., Clobert, J. & Cote, J. (2015a). Dispersal response to climate change: scaling down to intraspecific variation. Ecol Lett, 18, 1226–1233
- Bestion, E. & Cote, J. (2017). Species Responses to Climate Change: Integrating Individual-Based Ecology Into Community and Ecosystem Studies. In: Reference Module in Earth Systems and Environmental Sciences. Elsevier
- Bestion, E., Jacob, S., Zinger, L., Gesu, L.D., Richard, M., White, J., et al. (2017). Climate warming reduces gut microbiota diversity in a vertebrate ectotherm. Nature Ecology & Evolution, 1, 0161
- Bestion, E., Teyssier, A., Richard, M., Clobert, J. & Cote, J. (2015b). Live Fast, Die Young: Experimental Evidence of Population Extinction Risk due to Climate Change. PLoS Biol, 13, e1002281
- Field, C.B., Barros, V.R. & Intergovernmental Panel on Climate Change (Eds.). (2014). Climate change 2014: impacts, adaptation, and vulnerability: Working Group II contribution to the fifth assessment report of the Intergovernmental Panel on Climate Change. Cambridge University Press, New York, NY
- Gilman, S.E., Urban, M.C., Tewksbury, J., Gilchrist, G.W. & Holt, R.D. (2010). A framework for community interactions under climate change. Trends in Ecology & Evolution, 25, 325–331
- Huey, R.B., Deutsch, C.A., Tewksbury, J.J., Vitt, L.J., Hertz, P.E., Pérez, H.J.Á., et al. (2009). Why tropical forest lizards are vulnerable to climate warming. Proc. R. Soc. B, 276, 1939–1948
- Huey, R.B., Losos, J.B. & Moritz, C. (2010). Are Lizards Toast? Science, 328, 832–833
- IPCC. (2013). Climate change 2013: the physical science basis : Working Group I contribution to the fifth assessment report of the Intergovernmental Panel on Climate Change. Cambridge University Press, Cambridge, United Kingdom and New York, NY, USA
- Legendre, S. & Clobert, J. (1995). ULM, a software for conservation and evolutionary biologists. Journal of Applied Statistics, 22, 817–834
- Legrand, D., Guillaume, O., Baguette, M., Cote, J., Trochet, A., Calvez, O., et al. (2012). The Metatron: an experimental system to study dispersal and metaecosystems for terrestrial organisms. Nature Methods, 9, 828–833
- Parmesan, C. (2006). Ecological and Evolutionary Responses to Recent Climate Change. Annual Review of Ecology, Evolution, and Systematics, 37, 637–669
- Thomas, C.D., Cameron, A., Green, R.E., Bakkenes, M., Beaumont, L.J., Collingham, Y.C., et al. (2004). Extinction risk from climate change. Nature, 427, 145–148





